热门关键词: 博莱特空压机 英格索兰无油空压机 德斯兰微油螺杆空压机 空压机配件
众冈空压机-空压机系统一站式服务
为您提供空压机解决方案!
全天服务热线
139-1763-1330
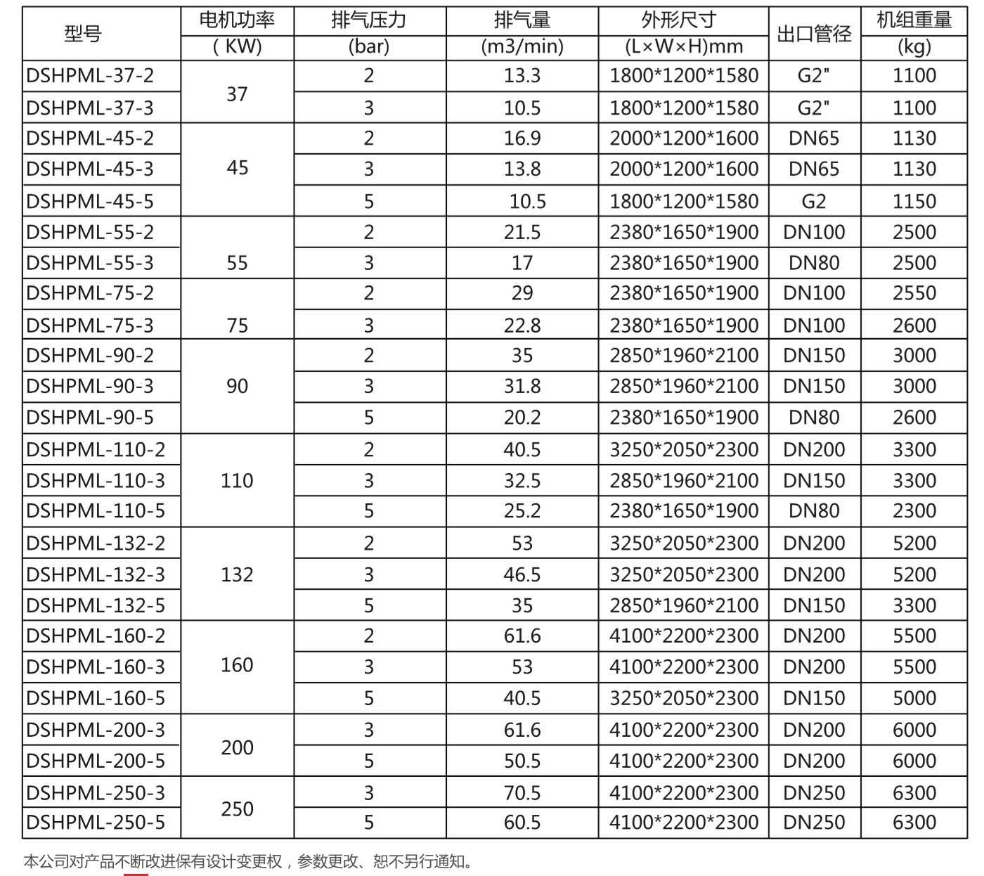
化纤行业专用低压永磁变频螺杆机
型号:DSHPML-132-3
功率:132KW
马力:180HP
立即咨询
产品详情

德斯兰为化纤加弹行业定制低压螺杆式空气压缩机,它脉冲小,气源稳定,能有效降低加弹次品率,相比活塞机更节能,*低压力可达1.5bar。针对加弹行业,保证长时间连续运转。使用德斯兰低压螺杆机,能让您在同等气量的情况下,获得非常惊人省电效果。

产品参数

1752818391283579.jpg